Volume 6: Stormwater Management
This volume provides standards for stormwater practices during development. We align with local and provincial guidelines to protect the environment and minimize flooding.
On this page:
This document may be updated on an annual basis or at the discretion of the Director of Engineering Services.
1.0 Purpose
Land development has a direct impact on the quality and quantity of stormwater runoff. Stormwater design for development within the City of Waterloo must mitigate the impacts of development to protect the downstream watershed ecosystems and minimize localized flooding. All developments within the City of Waterloo are subject to appropriate stormwater management (SWM) practices in accordance with City of Waterloo design criteria and provincial stormwater management guidelines.
This Volume provides an overview of development related to stormwater management requirements within the City. Future updates to this volume will include a comprehensive SWM policy.
Refer to Standard Drawings for items such as pond maintenance access, bollard gates, access gates, and signage.
2.0 Background documents
SWM guidance documents include, but are not limited to the following:
- City of Waterloo Stormwater Management Master Plan (SWM-MP), December 2019, Aquafor Beech
- Stormwater Management Planning and Design Manual, March 2003, MECP
- Low Impact Development Stormwater Management Guidance Manual, Draft January 2022, MECP
- Ontario Water Resource Act, R.S.O. 1990, Amended 2021, MECP
- Water management: policies, guidelines, provincial water quality objectives, 1994, MECP
- Design Criteria for Sanitary Sewers, Storm Sewers and Forcemains for Alterations Authorized Under Environmental Compliance Approval, 2022, MECP
- Low Impact Development Stormwater Management Planning and Design Guide, STEP
- Drainage Act, R.S.O. 1990, Amended 2021, OMAFRA
- Lakes and Rivers Improvement Act, R.S.O. 1990, Amended 2019, MNRF
- Fish and Wildlife Conservation Act, S.O. 1997, Amended 2021, MNRF
- City of Waterloo Uptown SWM criteria
- Stormwater Management in Uptown Waterloo Report P&PW/EG 4201
- GRCA Policies and Guidelines
- Grand River Management Plan, GRCA
- Regional Official Plan - Chapter 8, Region of Waterloo
- Grand River Source Protection Plan: Volume 1 and Volume 2, Chapter 10, February 15, 2022, GRCA/ Lake Erie Region Source Protection Committee
- Stormwater Charge and Implement Stormwater Credit Program (2012-125), 2012, City of Waterloo
- Water Feature By-law (03-039) and amendment (04-055), 2003/2004, City of Waterloo
- Environmental Compliance Approval For a Municipal Stormwater Management System (ECA 112-S701), 2022, City of Waterloo
2.1 Stormwater Management Master Plan (SWMMP)
The City of Waterloo SWM-MP was completed by Aquafor Beech in 2021 and may be found on the City of Waterloo website. The plan provides the City with a stormwater management strategy to identify, protect and enhance natural features, ecological function and?biophysical integrity.?The ultimate goal is to protect our rivers, streams and ground water. In addition to local studies (sub-watershed studies, master drainage plans, etc.) this plan forms the basis for stormwater criteria in the City of Waterloo. For more information on the SWM-MP, refer to City of Waterloo website.
2.2 Subwatershed studies
Subwatershed studies and plans within the City of Waterloo include:
- North Waterloo Scoped Subwatershed Study, 2013
- Forwell Creek Functional Drainage Study Class EA, 2001
- Laurel Creek Flood Control Project Class EA, 1990
- Eastbridge District North Master Drainage Plan, 1997
- Albert/MacGregor Drainage Study, 2008
- Northland Creek Drainage Study, 1985
- Colonial Creek Rehabilitation Plan Functional Design Study, 1995
- Scoped Subwatershed Study – Portions of Subwatersheds 307 and 314 Laurel Creek Watershed, 2004
- Laurel Creek Watershed Study, 1992
- Requirements for Subwatershed Plans in the Laurel Creek Watershed, 1994
- Clair Creek Subwatershed Study, 1977
- Melitzer Creek Master Drainage Plan, 1989
- Colonial Creek Watershed and Basin A and B Maser Drainage Plan, 1990
- Clair Creek Subwatershed 317 Drainage Study, 2003
- Subwatershed Management Plans #313 and #309, 1999
- Subwatershed 311 Subwatershed Plan, 1995
- Subwatershed 314 Management Plan, 1996
2.3 Uptown Waterloo stormwater management criteria
To ensure responsible development, both the City of Waterloo and GRCA (Grand River Conservation Authority) have set specific Stormwater Management (SWM) criteria for new and redeveloped sites in Uptown Waterloo, particularly in sub-watersheds 319 and 320, as identified in the Laurel Creek Watershed Study.
During significant storm events, it is crucial that runoff from proposed developments in these sub-watersheds is swiftly released. This rapid release aims to prevent combined peak flows from upstream tributaries in the Uptown area, reducing the risk of flooding. Uptown Waterloo has unique considerations, and while there is no quantity control mandated for major storm events, the policy does not exempt the 5-year event.
SWM designs for Uptown Waterloo should include on-site systems capable of storing and conveying the 5-year event. This water should then discharge into the City’s underground conveyance system. It's essential to note that any new or redeveloped area should integrate on-site SWM controls to utilize the existing underground system without overloading it. If, during the 5-year event, the City's conveyance system experiences a surcharge under existing conditions, additional measures may be necessary. These measures should aim to decrease runoff levels below pre-development levels, ensuring that post-development runoff release is reduced to match the capacity of the receiving sewer system.
Developments within the Uptown area must adhere to all quality control measures specified by the City of Waterloo’s Engineering Services. Every effort should be made to encourage practices like infiltration and other best management practices where practical.
3.0 Design criteria
Stormwater Management Criteria should always be confirmed by the City of Waterloo’s Engineering Services.
An effective SWM design must address the following issues:
- Water quantity (i.e. post to pre development peak flows)
- Water quality
- Water balance (groundwater protection/recharge-discharge conditions)
- Erosion and sediment control
- Stream stability/management
- Storm drainage shall be managed within the developing property, to the extent possible.
3.1 General
- Drainage flows shall be directed away from all buildings
- Where the City, GRCA, and MECP require stormwater management criteria, the more restrictive must be followed.
- All designs are in conformance with the City of Waterloo Stormwater Master Plan.
- Any existing drainage courses flowing through the site must be resolved with the proposed development.
- SWM facilities must be constructed and maintained through assumption by the City or in accordance with any agreements.
3.2 Water quantity
3.2.1 Peak flow control
- Post development peak flows shall be attenuated to the lesser of: pre-development levels, level of control specified within a local study (Watershed Study, Subwatershed Study, Master Drainage Plan, and Master Environmental Servicing Plan), the capacity of the receiving system, or an alternate value determined by the City of Waterloo Engineering Services.
- In the Northland Industrial Area (Phases I, II, III & IV) peak flows for the 100-year storm are to be attenuated to 0.035 cm/s/ha.
- In the Dearborn Industrial Area peak flows for the 100-year storm are to be attenuated to 0.060 cm/s/ha.
- Details on how the peak flow is to be controlled shall be completed including pipe size, orifice, and weir, "Hydrobrake" etc.
- Oversized storm sewers on site may be used to create pipe storage.
- Stormwater quantity targets established by the City and the GRCA should be met through at source and on-site facilities.
3.2.2 Minor system (underground) flow
- Runoff from 5-year storm to be used to design the minor (underground) drainage system and ensure minimal ponding in the event controls are required on site.
3.2.3 Major system (overland) flow
- Storm structures should be sized to avoid ponding greater than 48 hours and 0.3m in the 5-year storm. Engineering Services will review situations where ponding cannot be avoided.
- Surface ponding shall be minimal, and a maximum ponding depth of 0.3 m is permitted for the 100-year storm event in parking areas and 0.8 m in grassed areas excluding ponds.
- Major system flow capacity should be designed to accommodate 100-year design flows.
- Overland flow routes must be established for stormwater runoff in excess of the design requirements. The SWM design may also allow overland flow from the extreme event after a reasonable and safe amount of ponding to the municipal right of way.
- No surface ponding elevations from the 100-year storm or the overflow weir elevation (whichever is greater) are permitted within 0.3 m vertically of an opening to a building.
- The emergency storm sewer outlet for the 100-year storm event (or clogged storm sewer system) shall be to the street and not to an adjacent site or into a building.
- All quantity control measures, and associated surface ponding must be located on private property
3.3 Water quality
Runoff in each site location should be characterized for the risks posed to groundwater systems and receiving waterbodies (e.g., suspended solids, nutrients, bacteria, hydrocarbons, salinity, and other contaminants). Each treatment strategy should be site-specific and begin with a runoff quality characterization based on land use and end by accommodating the needs of the receiving system (groundwater and/ or waterbody).
- Follow guidance from subwatershed studies, master plans, or stormwater management reports where applicable.
- Quality should always be stricter of MECP, GRCA, or reported site-specific requirements for suspended solids (enhanced, normal, or basic) and contaminants.
3.4 Water balance
Water balance measures must adhere to the Grand River Source Protection Plan (See Section 2.1). There are two key designations within this plan which limit an areas suitability to infiltration which are important to understand when selecting appropriate water balance measures. The first is Issue Contributing Area (ICA). An ICA is an area within which activities have or are likely to contribute to elevated levels of contaminants at a well as determined through historical sampling. The second is Wellhead Protection Areas (WHPA). WHPA are areas around municipal drinking water supply wells that are vulnerable to contamination from surface sources. These areas are identified in the Groundwater Vulnerability module and are categorized based on their relative vulnerability to contamination (A, B, C, D, or E). For more information, refer to the Grand River Source Protection Plan.
- Water balance approach should be be determined in consultation with the City of Waterloo Engineering Services Project Manager prior to preliminary design.
- Stormwater management plans and designs for all development shall strive to match pre-development water balance conditions
- For all sites within ICAs and/or WHPAs with adjusted vulnerability scores equal to or greater than 8, paved surfaces (roads, sidewalks and parking surfaces) should not be treated with stormwater infiltration practices due to salt-based deicers commonly used in the winter
- The Stormwater Management Master Plan: Stormwater Infiltration Policy Recommendations (2021) found on the City of Waterloo Website provides two frameworks for identifying infiltration opportunities.
- Land Use Infiltration Plan
- Infiltration Plan for Municipal Roads
- If subsurface conditions are suitable, at-source infiltration of roof drainage is encouraged as a method of quantity and quality control
- When infiltration measures are proposed, a qualified Professional must confirm the type of soil, permeability, and depth to water table in a formal Geotechnical or Hydrogeological report
- Monitoring and maintenance ports for all infiltration measures should be included
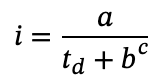
3.5 Intensity-Duration-Frequency (IDF) relationship
Observations of rainfall at a particular geographic location can be described statistically by an Intensity-Duration-Frequency (IDF) relationship or curve. For a specific frequency or return period a curve can be defined which predicts the maximum average rainfall intensity which is likely to occur for a range of durations. High rainfall intensity is likely to occur over very short durations such as 5 or 15 minutes whereas for longer durations the average intensity is likely to be more modest.
The reliability of an IDF curve increases with the period of record for which rainfall data is available. For purposes of calculation, the IDF curves can be represented by Equation V5-1 using the values found in Table V6-1.
Equation V5-1:

Where i = extreme mean average rainfall intensity in mm/hr
td = duration of the storm event in minutes
a,b,c = storm constants for a given return period.
Table V6-1 Storm constants for different return periods
Summary: This table shows intensity–duration–frequency parameters for 5-, 25- and 100-year return periods.
| Return period T years | 2 years | 5 years | 25 years | 100 years |
|---|---|---|---|---|
| a (mm/hour) | 1101 | 1755 | 3261 | 4692 |
| b (minutes) | 9.258 | 12.347 | 16.193 | 17.437 |
| c | 0.882 | 0.895 | 0.938 | 0.956 |
3.6 Runoff modelling
All storm drainage conveyance system elements proposed, and all stormwater management storage facilities shall be designed using computer modelling techniques. The preferred software package is PCSWMM, but others may be acceptable at the discretion of City’s project manager in Engineering Services.
Modelling reporting requirements have been included in Section 4.
4.0 Stormwater management report
For stormwater management report requirements, refer to Volume 3.
5.0 Storm ponds
5.1 Design
- Follow Stormwater Management Planning and Design Manual (MECP) guidance for pond design.
5.1.1 Maintenance access roads
- Maintenance of access roads is required at or above the high-water level around the entire perimeter of the storm pond. Ramps from the maintenance access road extending to the permanent pool elevation should be provided for access to all inlet and outlets. A tri-axle dump truck turning analysis for the maintenance access road must be provided during detailed design stages.
- Maintenance access roads, excluding ramps extending into the pond, should be designed for public access unless otherwise directed by the City’s Project Manager. For more information on public trail design see Volume 7 and Standard Drawings.
5.2 Assumption process
For details on final acceptance of a pond by the City refer to Volume 2.
5.3 Signage
Pond signage should be constructed and installed per the Detail found in Standard Drawings.